Klinogicare® StarLab

Portable Biochemical Analyzer for Elite Sports Applications

Early warning biomarkers

Creatine Kinase monitoring

Monitoring creatine kinase (CK) levels helps identify signs of increased muscle load and potential injury risk in athletes at an early stage. An increase in CK may serve as a signal to adjust the training process and prevent overload.

Deployed on the ISS

Extreme reliability

The device is used on the ISS (International Space Station), which confirms the high level of requirements for the system’s accuracy, compactness, and reliability under extreme conditions.

Microfluidics

Lab-on-a-chip technology

Microfluidics makes it possible to perform highly accurate analysis using a minimal sample volume. This enables fast results, compact design, and high reproducibility compared to classical dry chemistry methods.

CK and other biomarkers monitoring in 10 minutes

Injury Prevention Strategy

CK Analyzer
Integrating StarLab into professional club protocols
Klinogicare StarLab
Rapid diagnostics | On-site

Klinogicare® StarLab

Starting at $20,000 (analyzer + annual reagent kit)
Quantitative in vitro determination of clinical chemistry analytes using whole blood, lithium-heparinized plasma, or serum. The test requires just 100 μL of sample (approx. three drops), delivering results in 7–13 minutes.

Features multi-language support and over-the-air Wi-Fi updates. The device delivers central-lab accuracy while remaining fully portable for field use. The appearance of the product may vary depending on the supply region. Technical and functional specifications are identical across all versions.
Seasonal Economic Benefit Calculator
(use the sliders below to set your values)
Analyzer and consumables cost:
20 000 $
20 000 $30 000 $
Salary paid during injury:
80 000 $
10 000 $200 000 $
Number of injuries per season:
5
115
Total salary loss due to player downtime:
400 000 $
Estimated savings with Klinogicare StarLab:
380 000 $

Early risk detection helps prevent muscle injuries and reduce time away from play, which directly affects the club’s budget.

The club incurs direct financial losses when a player is sidelined even for a short period. The sporting asset loses value, while salary obligations remain.

Monitoring CK and other biomarkers helps detect overload earlier, adjust the workload, and reduce the likelihood of muscle damage.

01

Salary Obligations

When a player is sidelined, the club continues to pay for the period of absence.

02

Recovery Time

The average recovery time for a muscle injury is 2 weeks or more.

03

Cumulative Cost Effect

The cost of the StarLab analyzer pays off by preventing just one injury.

An athlete’s salary (step 01), paid during the absence period (step 02), results in direct financial loss with each injury. Multiplying this by the number of injuries per season gives an estimate of total losses. Klinogicare StarLab is designed to reduce these losses.

Example: with a monthly salary of $80,000 and 5 injuries per season, total losses reach $200,000.

Regular biochemical monitoring shifts teams from reactive decision-making to proactive risk management, which directly affects injury reduction and improved sporting performance.

Specification

Technical Specifications
01 / 05
Klinogicare® POCT testing system
Portable biochemical analyzer based on microfluidic technology
Analyzer dimensions
L x W x H: 21 × 12 × 18 cm / 8.27 × 4.92 × 6.89 in
Weight
2.9 kg / 6.39 lbs
Operating mode
Continuous
Operating ambient temperature
10~30°C (50-86°F), indoor use
Atmospheric pressure
86.0 kPa~106.0 kPa / Up to 2000 m (6562 ft)
Humidity
40%~85%
Power requirements
120 VA
Main supply voltage
100-240 V AC, 50-60 Hz
Reaction temperature
37°C (98.6°F)
Note: The appearance of the product may vary depending on the supply region. Technical and functional specifications are identical across all versions of the device.

Types of Tests (Panels)

Panel Analytes
General Chemistry Ⅰ TP ALB GLO ALB/GLO ALT AST TBIL DBIL IBIL TG CHOL HDL-C LDL-C GLU CRE UREA UA
Clinical Emergency Panel AST CK CK-MB LDH α-HBDH GLU AMY CRE UA K+ Na+ Cl- CO2
Renal Function Panel ALB CRE UREA UA Ca2+ P CO2
Liver Function Panel TP ALB GLO ALB/GLO ALT AST GGT ALP TBIL DBIL IBIL
Myocardial Enzyme Panel AST CK CK-MB LDH α-HBDH
Electrolyte Panel K+ Na+ Cl- Ca2+ P Mg2+ CO2
Glucose and Lipid Panel TG CHOL HDL-C LDL-C GLU GSP
GLU, Lipids and HCY Panel TG CHOL HDL-C LDL-C GLU HCY
General Chemistry Ⅱ GLU AMY CRE UREA K+ Na+ Cl- CO2
Liver and Kidney Function TP ALB GLO ALB/GLO ALT AST GGT TBIL GLU CRE UREA
Ammonia Panel NH3
General Chemistry Ⅳ TP ALB GLO ALB/GLO ALT AST GGT ALP TBIL DBIL IBIL TG CHOL HDL-C LDL-C GLU CRE UREA UA

Muscle Damage

CK, AST, LDH, and α-HBDH help assess the level of muscle stress and the risk of injury after intense physical exertion.

Recovery and Catabolism

TP, ALB, UREA, and UA provide insight into protein metabolism, recovery quality, and the risk of excessive catabolism.

Electrolyte Balance

K+, Na+, Cl-, and CO2 reflect fluid and electrolyte balance, exercise tolerance, and the risk of performance decline due to dehydration.

Energy Metabolism

GLU, TG, CHOL, HDL-C, and LDL-C help monitor energy availability, lipid profile, and overall metabolic adaptation.

The role of biomarkers in sports medicine and training, including their use in assessing physical condition, managing training load, and preventing injuries.

General Chemistry I Panel

TP (Total Protein) - Total Protein Recovery
TP = total protein resource of the body
In sports, total protein level is important for assessing recovery and the overall condition of the body.
ALB (Albumin) - Albumin Recovery
ALB = transport of substances and protein status
Albumin is responsible for transporting substances in the blood, and its level helps assess the condition of the liver and kidneys. In athletes, decreased albumin may indicate overtraining or inadequate nutrition.
GLO (Globulin) - Globulins Recovery
GLO = immune and inflammatory reactivity
Globulins play an important role in the immune system, and their level helps evaluate recovery after exertion and the body’s inflammatory response.
ALB/GLO (Albumin/Globulin Ratio) Balance
ALB/GLO = protein balance and inflammatory background
This ratio shows the balance between the main blood proteins. A reduced ratio may indicate inflammatory processes or immune dysfunction.
ALT (Alanine Aminotransferase) - Alanine Aminotransferase Liver
ALT ↑ = load on the liver or muscle tissue
ALT is an enzyme that used to assess liver function. In athletes, an elevated level may indicate muscle damage after intense exertion.
AST (Aspartate Aminotransferase) - Aspartate Aminotransferase Muscles
AST ↑ = muscle or liver damage
AST is also important for assessing the condition of muscle and liver tissue. In sports, elevated AST is commonly associated with intense training and muscle damage.
TBIL (Total Bilirubin) - Total Bilirubin Liver
TBIL = overall bilirubin metabolism
Bilirubin reflects liver function. In athletes, its increase may be associated with altered hemoglobin metabolism due to prolonged exertion.
DBIL (Direct Bilirubin) - Direct Bilirubin Liver
DBIL ↑ = bile excretion and liver load
A high level of direct bilirubin may signal biliary or liver dysfunction, especially under heavy exertion.
IBIL (Indirect Bilirubin) - Indirect Bilirubin Hemolysis
IBIL ↑ = breakdown of red blood cells under exertion
Indirect bilirubin may increase due to the increased red blood cell breakdown, which is relevant for athletes experiencing high aerobic loads.
TG (Triglycerides) - Triglycerides Metabolism
TG = lipid metabolism and nutrition
The level of triglycerides in the blood helps assess the cardiovascular risk, especially with high-calorie nutrition in athletes.
CHOL (Cholesterol) - Cholesterol Metabolism
CHOL = lipid profile control
Monitoring cholesterol levels is important for maintaining cardiovascular health, especially in athletes on high-fat diets.
HDL-C (High-Density Lipoprotein Cholesterol) - High-Density Lipoproteins ("good" cholesterol) Cardiovascular risk
HDL-C ↑ = more favorable lipid profile
A high HDL level is beneficial for athletes because it is associated with a lower cardiovascular risk.
LDL-C (Low-Density Lipoprotein Cholesterol) - Low-Density Lipoproteins ("bad" cholesterol) Cardiovascular risk
LDL-C ↑ = risk of atherosclerosis
Elevated LDL increases the risk of atherosclerosis. For athletes, it is important to keep it within the normal range.
GLU (Glucose) - Glucose Energy
GLU = energy availability for performance
Glucose is the main source of energy. In athletes, glucose levels help assess readiness for training and the risk of hypoglycemia or diabetes.
CRE (Creatinine) - Creatinine Load
CRE ↑ = dehydration, muscular, or renal load
A marker of kidney function. Elevated creatinine levels in athletes may indicate overtraining or dehydration.
UREA (Urea) - Urea Catabolism
UREA ↑ = increased protein breakdown
An indicator of protein catabolism. Elevated levels may indicate increased protein breakdown and insufficient recovery.
UA (Uric Acid) - Uric Acid Load
UA ↑ = cellular breakdown and intense load
An elevated uric acid level may indicate increased cellular breakdown under intense physical exertion.

Clinical Emergency Panel.

AST (Aspartate Aminotransferase) - Aspartate Aminotransferase Muscles
AST ↑ = sign of muscle damage after strength work
Important for assessing muscle tissue damage after strength training.
CK (Creatine Kinase) - Creatine Kinase Muscles
CK ↑ = main marker of muscle damage
A primary marker of muscle damage. Elevated CK levels are observed after intense physical exertion and may serve as an indicator of overtraining and a predictor of muscle injuries.
CK-MB (Creatine Kinase-MB) - Creatine Kinase-MB Heart
CK-MB = assessment of the heart muscle
Specific to the heart muscle. Used to assess cardiac muscle damage, especially relevant when cardiac issues are suspected after intense training.
LDH (Lactate Dehydrogenase) - Lactate Dehydrogenase Muscles
LDH ↑ = tissue damage and high physical load
An elevated LDH level indicates cellular damage, both muscular and cardiac, which is important for evaluating the athlete’s condition after heavy exertion.
α-HBDH (α-Hydroxybutyrate Dehydrogenase) Heart and muscles
α-HBDH ↑ = damage to cardiac and muscle tissue
A marker of damage to heart and muscle tissue. It may increase after prolonged physical exertion.
GLU (Glucose) - Glucose Energy
GLU ↓ = energy deficit during aerobic work
Reflects the state of energy metabolism. A decrease in level may result from prolonged aerobic exertion.
AMY (Amylase) - Amylase Metabolism
AMY = stress on the pancreas
Amylase may be elevated under pancreatic stress, which may occur due to unbalanced nutrition in athletes.
CRE (Creatinine) - Creatinine Load
CRE ↑ = muscle overload or renal stress
An elevated creatinine level may indicate muscle overload or kidney issues.
UA (Uric Acid) - Uric Acid Catabolism
UA ↑ = intense cellular breakdown
An elevated level may result from intense training causing cellular breakdown.
K+ (Potassium) - Potassium Electrolytes
K+ = muscle contractility and heart function
Potassium is important for muscle and heart function. Its levels affect muscle contraction and recovery after training.
Na+ (Sodium) - Sodium Electrolytes
Na+ = fluid and electrolyte balance
Sodium regulates water-electrolyte balance. Sodium levels may change during dehydration, which is important for athletes training in hot conditions.
Cl- (Chloride) - Chlorides Electrolytes
Cl- = acid-base and water balance
Chlorides are involved in maintaining the acid-base balance and body fluid balance, which is important for physical activity.
CO2 (Carbon Dioxide) - Carbon Dioxide Acid-base balance
CO2 = acid-base equilibrium
An indicator of acid-base equilibrium. Important for evaluating the athlete’s condition during high-intensity exercise.
In sports practice, biomarkers should not be interpreted in isolation, but as part of an integrated assessment. For example, CK + AST + LDH help evaluate muscle damage, GLU + TG + CHOL reflect energy and lipid metabolism, while Na+ + K+ + Cl- + CO2 indicate fluid, electrolyte, and acid-base balance.

Overview of biomarkers and technologies.
Which to choose - dry chemistry or microfluidics?

Dry chemistry

A simple testing format using pre-applied reagents on strips, plates, or chips.

Microfluidics

A technology for precise control of small liquid volumes in microscale channels with integrated processing.

Key choice

For basic rapid testing, dry chemistry is sufficient. For higher accuracy, multi-analyte testing, and automation, microfluidics is the preferred choice.

For sports

In sports medicine, priority is given to technologies that provide more accurate assessment of muscle damage and training load.

Dry chemistry.

Simple testing format with pre-applied reagents

Dry chemistry is an analytical method based on reagents pre-applied to solid surfaces such as strips, plates, or chips. When a biological sample (for example, a drop of blood or urine) is added, the reagent reacts with the target components of the sample, and the result can be determined visually or using a special reader device.

Key features of dry chemistry:

Ease of use. Dry chemistry tests typically do not require complex equipment or highly specialized personnel.
Minimal sample requirements. A small amount of biological material is usually required (for example, 10-250 µL).
Speed. Results can be obtained within minutes.
Convenience and portability. Often used in test strips that can be used not only in laboratories but also in clinics and point-of-care settings.
Examples of use: Test strips for blood glucose measurement, pregnancy tests, rapid tests for infectious diseases, and creatine kinase monitoring, widely used in sports medicine for assessing muscle damage.

Microfluidics

High-precision technology for working with small liquid volumes

Microfluidics is a technology based on the manipulation of very small volumes of liquid (microliters and nanoliters) in microscale channels, typically on microfluidic chips. This technology enables complex analyses on small samples by integrating several stages of the process (such as mixing, reaction, and detection) within a single device, including multi-component testing.

Key features of microfluidics:

High precision and control. Microfluidics allows precise control of fluid movement and reagent interaction, improving result quality and reproducibility, making it suitable for complex multi-analyte testing and offering higher accuracy compared to dry chemistry.
Miniaturization and integration. Multiple laboratory processes can be integrated into one microfluidic device, reducing sample and reagent volume requirements. Only minimal sample volumes are needed (from a few microliters), which is especially useful in pediatrics, sports medicine, and research where large volumes are difficult to obtain.
Speed and efficiency. Due to minimal volumes and high process speed, microfluidic devices can provide results significantly faster than traditional laboratory methods, typically within 7-13 minutes.
Flexibility and multifunctionality. Microfluidic systems can be adapted for a wide range of tests, including biochemical, cellular, and molecular applications.
Integration and automation. The technology allows multiple analysis stages to be integrated on a single chip (for example, sample preparation, reaction, and detection), reducing human error and improving overall efficiency.
Examples of use: Diagnostics based on DNA and RNA analysis (real-time PCR), including Lab-on-a-Chip systems, complex analysis of metabolites, proteins or cells, biomarker monitoring for early disease detection, microfluidic protein analysis systems, high-throughput drug screening devices. In professional sports, this includes creatine kinase monitoring for accurate assessment of muscle damage.

Disadvantages of dry chemistry:

Limited range of tests. Despite a wide range of available tests (glucose, cholesterol, kidney and liver markers), the method is not always suitable for complex or multi-component analyses.
Lower accuracy compared to advanced laboratory methods. Dry chemistry is often less accurate than more advanced methods such as liquid chromatography or microfluidics.
Dependence on test strip quality. Result reliability may depend on test strip quality, which may require periodic calibration.

Disadvantages of microfluidics:

Cost. Microfluidics requires complex chips and fluid control equipment, which increases overall cost.
Development and production. Designing and manufacturing microfluidic systems is more complex and costly compared to dry chemistry methods.
Comparative characteristics of analyzers Standard analyzer of the previous generation Klinogicare® POCT testing system
Applied technology Dry chemistry Microfluidics
History In 1965, Ames (now part of Bayer) introduced the first test strip for measuring blood glucose levels (based on dry chemistry technology) In the 2000s-2010s, microfluidics became widely used in biomedical research and diagnostics due to advances in microelectromechanical systems (MEMS). During this period, commercially available microfluidic devices began to appear
Control type Semi-automatic Automatic
Startup time Ready for operation 10 minutes after switching on Ready for operation within 1 minute
Sample material Plasma, serum, whole blood (when using a special centrifuge tube) Plasma, serum, whole blood (without the need for additional equipment)
Minimum sample volume 250 μL of whole blood or 100 μL of serum 100 μL (approximately three to four drops, regardless of sample type)
Built-in barcode reader No Yes
Printer for printing results Yes Yes
Dimensions, weight 33 × 20 × 18 cm, weight 5.5 kg 21 × 13 × 17 cm, weight 2.9 kg
FAQ

Questions and Answers

Information about the Klinogicare® POCT testing system - a portable biochemical analyzer based on microfluidic technology
!
IMPORTANT NOTE: The information is provided for informational purposes only and does not constitute a medical recommendation or instructions for use. Interpretation of results, sample collection rules, quality control requirements, and decisions on clinical use are determined only by a qualified specialist and the institution's internal regulations.
I. GENERAL QUESTIONS ABOUT THE SYSTEM
POCT stands for point-of-care testing, meaning analysis is performed near the patient or directly at the site of care. Unlike a large laboratory system, such a device is designed for fast startup, minimal sample volume, and reduced time to obtain the result.
Most commonly, it is used for rapid biochemical screening, assessment of muscle damage, monitoring of training load and recovery, and obtaining data without waiting for central laboratory logistics.
Because microfluidics allows more precise control over the movement of very small liquid volumes, integrates several stages of analysis within one disk or chip, and is better suited for multi-analyte testing.
In most scenarios, it serves as a complement to the laboratory. The task of a POCT system is to quickly provide a quantitative result where speed, prompt decision-making, and convenience of working with a small sample volume are critical.
II. SAMPLE, COLLECTION AND PREANALYTICS
A full analysis requires 100 μL of sample - approximately three to four drops. This small sample volume is one of the key advantages of the portable microfluidic platform.
Whole blood, heparinized plasma, or serum are usually used - depending on the panel and the institution's internal protocol. For a specific test, the instruction manual and the validated workflow are always followed.
This depends on the panel, the collection method, and how the process is validated in a specific clinic or team. In practice, it is important not only whether it is "possible or impossible", but also how consistently a high-quality sample can be obtained without bubbles, clots, or contamination.
Critically important. Even a good device does not compensate for collection errors, hemolysis, clots, improper sample mixing, delay before loading into the disk, or violation of consumables storage temperature.
This may lead to a startup error, incorrect channel filling, an internal QC failure, or inability to obtain a valid result. Therefore, the sample loading technique is not a formality, but part of analytical quality.
Hemolysis is one of the most frequent preanalytical sources of error. It is especially critical for a number of indicators, including potassium and some biochemical markers, so the quality of collection and sample handling directly affects result reliability.
III. RESULTS, ACCURACY AND QUALITY
With correct preanalytics, compliance with the instructions, and a validated workflow, a POCT system provides a quantitative result suitable for prompt clinical decision-making. But comparison with a central laboratory should always take into account the sample matrix, time to analysis, and local method verification.
In the POCT segment, this depends on the system architecture. In many modern solutions, the main emphasis is placed on built-in checks, consumables control, and system self-check procedures, rather than manual user calibration before each test.
Internal QC is a built-in control of the system's proper operation during test startup. It helps filter out situations where the result may be unreliable due to problems with the cartridge, disk, filling, temperature, and the internal logic of the analysis.
Yes, if this is required by the institution's regulations. External quality control and periodic checks with control materials are needed not instead of internal QC, but together with it - to confirm the stability and reproducibility of the system over time.
The most common reasons are a sample problem, violation of consumable storage conditions, incorrect filling, a clot, an air bubble, overheating or cooling of the test disk, as well as a failure of internal quality control. In such cases, an error is a protective mechanism, not a "breakdown for the sake of breakdown".
For making an urgent decision - yes, if all analysis rules are observed. But for sports medicine, load monitoring, and muscle damage assessment, what is especially valuable is the dynamics of markers over time, not an isolated number without context.
IV. CONSUMABLES, STORAGE AND SHELF LIFE
Always according to the manufacturer's instructions. For POCT systems, the storage conditions of consumables are among the most sensitive factors, because deviations in temperature and humidity can affect reagent stability and result validity.
Usually, the consumable must first reach working temperature if this is stated in the instructions. A sharp temperature difference or condensation may lead to errors and QC failures.
This depends on the rules of the specific system, but in POCT practice such actions are often restricted or prohibited, because repeated temperature cycles may affect reagent stability. Therefore, consumables should never be handled "out of habit" - only according to the instructions.
Critical. After the expiration date, one cannot rely on reproducible performance of reagents and internal QC. For sports medicine, where a decision may affect training, recovery, or return-to-play, such risk is unacceptable.
V. OPERATION, PERSONNEL AND MAINTENANCE
Usually not, if the interface is well organized and there is a clear standard action algorithm. But even with a simple interface, discipline in preanalytics, QC rules, and correct interpretation of the result remain key factors.
Not necessarily. That is the whole point of POCT - to perform the test where it is needed, without full laboratory infrastructure. But access to operation should be granted to a trained operator, not just anyone "simply because there is a Start button".
This is a mechanism for restricting access to the analyzer for untrained operators or when QC requirements are violated. Such a function reduces the risk of user errors and helps maintain quality discipline.
Yes, but the scope of maintenance depends on the system architecture. At minimum, this includes cleanliness of working surfaces, compliance with regulations, checking accessory condition, software updates, and monitoring stable operation within the service schedule.
In practice, most often this is not "electronics failure", but the human factor: violation of consumable storage conditions, haste during sample loading, labeling errors, skipped QC, use of an unsuitable sample type, or ignoring error codes.
VI. DATA, PRINTING AND INTEGRATION
Yes, if printing is provided in the configuration and a compatible printer is connected. For many institutions this is important both for clinical documentation and for sports medicine, where the result must be quickly passed to the coach or team doctor.
It speeds up identification of the patient, operator, consumable, or control material and reduces the risk of manual data entry errors. For a continuous workflow, this is not a small detail, but a serious advantage.
In modern POCT solutions, this is one of the most demanded functions. Specific integration depends on the software version, interfaces, and the institution's IT architecture, but the very logic of connection to LIS/EMR is now an important criterion when choosing a system.
The archive in the device memory is needed for traceability, repeated verification, audit, and internal quality control. A paper sheet can be lost, while a digital trace helps restore the context of the test.
VII. IMPLEMENTATION, ECONOMICS AND SPORTS PRACTICE
The main point is to reduce time to result, minimize logistics losses, speed up decision-making, and gain more control over biochemical monitoring directly on site. For sports, this is especially important when the cost of an error is expressed not only in money, but also in lost training time and injuries.
When it is necessary to quickly assess an athlete's condition before training, after intense exertion, during the recovery period, at training camps, in away conditions, or when it is necessary to promptly adjust the training load based on biochemical data.
As a rule, no. In sports medicine, interpretation should take into account the clinical picture, dynamics, training context, and the combination of markers. One indicator can be a useful signal, but it should rarely become the only basis for a decision.
For sports clubs, rehabilitation centers, clinics, private practices, and mobile medical teams that need speed, compactness, quantitative results, and a more modern technological base than standard previous-generation solutions.
!
IMPORTANT CONCLUSION: Even the most modern POCT analyzer does not eliminate the requirements for sample collection quality, internal and external quality control, staff training, and correct clinical interpretation of the result.

The product appearance may vary depending on the supply region. Technical and functional parameters are identical for all device versions.

Manufacturer:

GATRIA Global LLC 66 W Flagler Street, STE 900, Miami, 33130, Florida, USA

SCIENTIFIC RESEARCH

Scientific publication • Sports Medicine: Science and Practice

Blood creatine phosphokinase level as a recovery criterion in professional football players during the competitive period

Khaitin V.Yu. (1,2), Matveev S.V. (1), Grishin M.Yu. (2)
Journal "Sports Medicine: Science and Practice". 2018;8(4):22-27.
1 - Pavlov First Saint Petersburg State Medical University, Ministry of Health of the Russian Federation, Saint Petersburg, Russia
2 - JSC FC Zenit, Saint Petersburg, Russia.
https://doi.org/10.17238/ISSN2223-2524.2018.4.22
https://www.smjournal.ru/jour/article/view/133/122 the link will open in a new window
Logo of Pavlov First Saint Petersburg State Medical University
Pavlov First Saint Petersburg State Medical University
FC Zenit logo
JSC FC Zenit, Saint Petersburg, Russia
Key conclusion: monitoring creatine phosphokinase helps prevent muscle injuries and overtraining.
DOI: 10.17238/ISSN2223-2524.2018.4.22 • Sports Medicine: Science and Practice • 2018;8(4):22-27
Scientific publication • British Medical Bulletin

Monitoring creatine kinase in sports medicine

Creatine kinase monitoring in sport medicine
Paola Brancaccio, Nicola Maffulli, Francesco Mario Limongelli
British Medical Bulletin, Volume 81-82, Issue 1, 2007, Pages 209-230
https://doi.org/10.1093/bmb/ldm014
https://academic.oup.com/bmb/article-abstract/81/1/209/283873
Illustration for the creatine kinase monitoring study 1 Illustration for the creatine kinase monitoring study 2 Illustration for the creatine kinase monitoring study 3 Illustration for the creatine kinase monitoring study 4

The paper examines in detail the variability of CK levels in athletes, the influence of age, sex, muscle mass, type of exercise, and climatic conditions, as well as the clinical significance of CK elevation after intense training.

Practical conclusion: athletes with high CK levels should be advised to continue physical activity at lower intensity in order to prevent muscle damage from high-intensity loads and allow full recovery.
DOI: 10.1093/bmb/ldm014 • British Medical Bulletin • Volume 81-82, Issue 1 • 2007 • Pages 209-230
Scientific publication • PLOS ONE

Fatigue markers in professional athletes - results from simulated training camps

Blood-Borne Markers of Fatigue in Competitive Athletes - Results from Simulated Training Camps
Illustration for the fatigue marker study 1 Illustration for the fatigue marker study 2

The study performed a comprehensive analysis of blood markers in 73 professional athletes - cyclists, team-sport athletes, and strength athletes - at three time points: after rest, after 6 days of fatigue induction, and after 2 days of recovery.

In cyclists, fatigue-dependent changes were found for creatine kinase, urea, free testosterone, and IGF-1. For strength training and high-intensity interval loads, the most pronounced and stable marker was CK.

Key conclusion: within a comprehensive panel of blood-borne markers, fatigue changes are most accurately reflected by urea and IGF-1 for cycling and by CK for strength training and team-sport athletes.
DOI: 10.1371/journal.pone.0148810 • PLOS ONE • Published: February 18, 2016
Scientific publication • Clinical Chemistry and Laboratory Medicine

Biochemical markers of muscle damage

Biochemical markers of muscular damage
Paola Brancaccio, Giuseppe Lippi and Nicola Maffulli
Servizio di Medicina dello Sport, Seconda Universita` di Napoli, Napoli, Italy; U.O. Diagnostica Ematochimica, Dipartimento di Patologia e Medicina di Laboratorio, Azienda Ospedaliero-Universitaria di Parma, Parma, Italy; Queen Mary University of London, Barts and The London School of Medicine and Dentistry, Center for Sports and Exercise Medicine, Mile End Hospital, London, England, UK
Journal Clinical Chemistry and Laboratory Medicine
https://doi.org/10.1515/CCLM.2010.179
https://www.researchgate.net/file.PostFileLoader.html?id=53f3ce21d5a3f2ad308b4648&assetKey=AS%3A273581659885575%401442238358926
Illustration for the biochemical markers of muscle damage study 1 Illustration for the biochemical markers of muscle damage study 2

The publication shows that muscle tissue may be damaged after intense prolonged training under the influence of both metabolic and mechanical factors. Serum enzyme and protein levels are considered markers of the functional state of muscle tissue.

The most useful serum markers of muscle damage are named as creatine kinase, lactate dehydrogenase, aldolase, myoglobin, troponin, aspartate aminotransferase, and carbonic anhydrase CAIII.

Key conclusion: blood and urine analysis provides a more complete picture of muscle condition and the level of muscle stress, and the assessment of protein and lipid oxidation markers may be useful for a more accurate quantitative evaluation of muscle stress after exercise.
DOI: 10.1515/CCLM.2010.179 • Clinical Chemistry and Laboratory Medicine • 2010
Scientific publication • Asian Journal of Sports Medicine

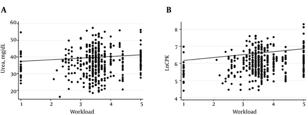
Creatine phosphokinase and urea as biochemical markers of muscle injuries in professional football players

Creatine Phosphokinase and Urea as Biochemical Markers of Muscle Injuries in Professional Football Players
Sports Medicine Postgraduate Program, Faculty of Medicine, University of Antioquia
Asian Journal of Sports Medicine: Vol. 9, issue 4; e60386, 2018
DOI: https://doi.org/10.5812/asjsm.60386
https://brieflands.com/articles/asjsm-60386.html
Illustration for the CPK and urea study 1 Illustration for the CPK and urea study 2

The study evaluated the relationship between the frequency of muscle injuries, serum levels of creatine phosphokinase, urea, and training load in professional football players. The retrospective cohort included 23 players from a Colombian first-division team, and observation lasted 19 weeks.

In injured players, a statistically significant increase in CPK and urea was noted 4 weeks before the clinical manifestation of injury compared to their own preseason values.

Key conclusion: building individual CPK and urea profiles during the preseason and competitive period may help identify concentration peaks as early markers of muscle injuries.
DOI: 10.5812/asjsm.60386 • Asian Journal of Sports Medicine • Vol. 9, issue 4 • e60386 • 2018

Read also other studies:

Creatine Phosphokinase and Urea in High-Performance Athletes During Competition. a Framework for Predicting Injuries Caused by Fatigue https://link.springer.com/chapter/10.1007/978-3-030-89654-6_21
Creatine-Kinase- and Exercise-Related Muscle Damage Implications for Muscle Performance and Recovery https://onlinelibrary.wiley.com/doi/10.1155/2012/960363
Acute fatigue in endurance athletes: The association between countermovement jump variables and creatine kinase response. https://www.eurjhm.com/index.php/eurjhm/article/view/819
×
Get in Touch
Our team typically responds within a few hours
By submitting this form, you agree to our privacy policy.